光热真空老化试验箱

量子效率测试仪
PL/EL一体机
Sinton硅片少子寿命测试仪
Sinton硅块少子寿命测试仪
绒面反射率测试仪
3D共聚焦显微镜
在线四探针方阻测试仪
全自动扫描四探针方阻测试仪
在线薄膜厚度测试仪
晶化率测试仪
Horiba显微共焦拉曼光谱仪
傅里叶红外光谱仪
霍尔效应测试仪
分光光度计
全光谱椭偏仪
Horiba椭圆偏振光谱仪
TLM接触电阻率测试仪
超景深显微镜
网版智能影像测量仪
全自动影像测量仪
卧式拉力机
电池片稳态光衰老化试验箱
电池片紫外老化试验箱
电池片拉脱力综合测试仪
外观检验台
湿漏电测试系统
组件实验室EL测试仪
紫外老化试验箱
稳态光衰老化试验箱
电流连续性监测系统
PID测试系统
旁路二极管测试系统
LeTID测试系统
反向电流过载系统
脉冲电压测试系统
绝缘耐压测试仪
接地连续性测试仪
绝缘耐压接地测试仪
湿热环境试验箱
湿冻环境试验箱
热循环试验箱
动态机械载荷测试机
静态机械载荷测试机
冰雹冲击试验机
引出端强度试验机
霰弹冲击试验机
抗划伤(切割)测试机
剥离试验机
万能材料试验机(单臂)
万能材料试验机(双臂)
光伏玻璃透过率测试仪
醋酸测试试验箱
交联度测试系统
二极管接线盒综合测试仪
落球冲击试验机
半自动四探针
全自动探针式台阶仪
多通道太阳能MPPT系统
Horiba稳瞬态荧光光谱仪
大面积钙钛矿方阻椭偏二合一测试仪
大面积钙钛矿影像显微二合一监测站
钙钛矿P1激光划线测试仪
钙钛矿在线PL测试仪
钙钛矿在线方阻测试仪
钙钛矿在线膜厚测试仪
钙钛矿工艺检测工作站
便携式EL测试仪
手持热成像测试仪
户外组件多通道测试系统
光伏逆变器电能质量测试仪
无人机EL检测仪
IV测试仪
IVEL分选机
原子层沉积(ALD)制备高透光掺铌SnO₂电子传输层(ETL)实现高效钙钛矿太阳能电池
日期:2025-05-28浏览量:1810
钙钛矿太阳能电池(PSC)因其高效率和低成本成为光伏领域的研究热点,但其性能受限于电子传输层(ETL)的电荷复合与界面缺陷。SnO₂因其高透光性(>85%)和化学稳定性成为理想ETL候选材料,但其本征缺陷(如氧空位)限制了电导率。
本研究通过原子层沉积(ALD)技术制备掺铌SnO₂(SnO₂:Nb)薄膜,并结合美能钙钛矿在线透过率测试机对ETL的透光性进行实时精确表征,确保其在可见光范围内透光率>85%,从而最大化钙钛矿层的光吸收效率(吸光度>90%)。
钙钛矿太阳能电池制备
(a) n-i-p结构钙钛矿太阳能电池示意图;(b) S₀器件(未掺杂SnO₂ ETL)和(c) O₅器件(掺Nb SnO₂ ETL)的截面SEM图像
PSC电池采用n-i-p结构,以FTO玻璃为基底,通过ALD在100°C沉积15 nm SnO₂:Nb或本征SnO₂薄膜。Nb掺杂通过调整前驱体脉冲序列(O序列和S序列)和循环比(如55:1、15:1等)实现,掺杂量由XPS深度剖面分析确定(0-3.45 at.%)。钙钛矿层为Cs₀.₀₅(MA₀.₁₆₆FA₀.₈₃₃)₀.₉₅Pb(Br₀.₁₆₆I₀.₈₃₃)₃,通过反溶剂辅助旋涂法沉积并于100°C退火。随后沉积PTAA作为空穴传输层(HTL),并通过热蒸发制备Au电极。
电学性能测试与分析
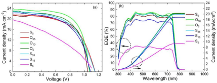
(a) 基于SnO₂:Nb和未掺杂SnO₂ETL的PSC电池在反向扫描方向下的电流密度-电压(J-V)曲线;(b) 外量子效率(EQE)及积分电流密度随波长的变化
本征SnO₂ ETL器件(S₀)的PCE为12.15%,而最优SnO₂:Nb ETL器件(O₁₀)PCE达13.08%,效率提升7.65%,主要归因于Voc(1.05→1.06 V)和Jsc(18.81→20.34 mA/cm²)的提升。
低掺杂量(≤0.2 at.%)器件(如O₅₅、O₁₀)因串联电阻降低(Rₛ=48.35 Ω·cm² vs. S₀的62.10 Ω·cm²)和并联电阻升高(Rₛₕ=12.77 Ω·cm² vs. S₀的5.32 Ω·cm²),显著优化了电荷传输效率。高掺杂量(>0.2 at.%)器件(如S₅,Nb=3.45 at.%)因FF骤降至32.70%(Rₛ=443.67 Ω·cm²),导致PCE降至6.12%,表明过量掺杂引入界面电阻与缺陷。
钙钛矿层特性研究
(a) FTO/O₁₀/Pk半电池的顶视SEM图像;(b)不同ETL的钙钛矿层XRD图谱;(c)钙钛矿层的光学透射光谱
XRD与SEM表明,所有ETL上的钙钛矿层均呈现致密晶粒(尺寸60–70 nm)与(100)择优取向,且PbI₂杂质未在界面富集,证明ETL改性未影响钙钛矿结晶性。
钙钛矿层的光吸收特性直接影响电池对太阳光谱的利用效率。通过紫外-可见-近红外(UV-Vis-NIR)透射光谱与吸收光谱分析发现:
吸收边位置:所有样品在765 nm处呈现明显的吸收边,对应光学带隙(Eg)为1.62 eV。与三元阳离子钙钛矿的典型带隙一致,表明Nb掺杂未改变钙钛矿的体相光学性质。
吸光度与透光性:在可见光范围(400–750 nm),钙钛矿层的吸光度超过90%,而SnO₂或SnO₂:Nb ETL的透光率均>85%,表明ETL的高透明性确保了入射光充分被钙钛矿层吸收,减少光学损失。
载流子动力学与能带工程
PSC电池在光照下的阻抗谱(Nyquist图):(a) 短路条件(V_DC=0 V);(b) 开路条件(V_DC=Vₒc)
阻抗谱分析:低Nb掺杂器件(O₁₀)的串联电阻(Rₛ=48.35 Ω·cm²)低于未掺杂S₀(62.10 Ω·cm²),表明载流子传输效率提升。
(a) 稳态光致发光(PL)光谱;(b) 瞬态光致发光(TRPL)衰减曲线;(c) 钙钛矿、SnO₂和SnO₂:Nb ETL的能带示意图
TRPL衰减:O₁₀器件的载流子寿命(τ=461 ns)显著高于S₀(149 ns),表明界面非辐射复合减少。
能带对齐:Nb掺杂使SnO₂导带向钙钛矿导带靠近,降低电子提取势垒,同时抑制界面电荷积累。
本研究通过原子层沉积(ALD)技术精确调控Nb掺杂浓度(≤0.2 at.%)可显著提升SnO₂:Nb ETL的电导率与能带匹配性,从而优化钙钛矿太阳能电池(PSC)的光伏性能。研究进一步揭示,SnO₂:Nb ETL的高透光性(透光率>85%)确保了钙钛矿层对入射光的充分吸收(吸光度>90%),有效减少光学损失。
美能钙钛矿太阳能电池的在线透过率检测设备是一种实时监测钙钛矿薄膜、透明氧化玻璃或组件光学透过率的系统,用于优化工艺、确保均匀性并提升电池效率。
精确度高:测量精度达到0.01%,能提供精确的透射比数据
稳定性好:测量稳定性<0.1%,在重复测试10次中能够提供稳定的数据,保证了测试结果的可靠性
高效率与自动化:大面积扫描(如0.6m×1.2m基板)可在秒级完成
本研究通过原子层沉积(ALD)技术结合美能钙钛矿在线透过率测试机验证了ETL的高透光性(>85%)与均匀性,显著提升了PSC的光伏性能。
原文参考:Innovative Nb-Doped SnO2 Electron Transport Layers Prepared by Atomic Layer Deposition for Enhanced Perovskite Solar Cells
相关解决方案









































































