
量子效率测试仪
PL/EL一体机
Sinton硅片少子寿命测试仪
Sinton硅块少子寿命测试仪
绒面反射率测试仪
3D共聚焦显微镜
在线四探针方阻测试仪
全自动扫描四探针方阻测试仪
在线薄膜厚度测试仪
晶化率测试仪
Horiba显微共焦拉曼光谱仪
傅里叶红外光谱仪
霍尔效应测试仪
分光光度计
全光谱椭偏仪
Horiba椭圆偏振光谱仪
TLM接触电阻率测试仪
超景深显微镜
网版智能影像测量仪
全自动影像测量仪
卧式拉力机
电池片稳态光衰老化试验箱
电池片紫外老化试验箱
电池片拉脱力综合测试仪
外观检验台
湿漏电测试系统
组件实验室EL测试仪
紫外老化试验箱
稳态光衰老化试验箱
电流连续性监测系统
PID测试系统
旁路二极管测试系统
LeTID测试系统
反向电流过载系统
脉冲电压测试系统
绝缘耐压测试仪
接地连续性测试仪
绝缘耐压接地测试仪
湿热环境试验箱
湿冻环境试验箱
热循环试验箱
动态机械载荷测试机
静态机械载荷测试机
冰雹冲击试验机
引出端强度试验机
霰弹冲击试验机
抗划伤(切割)测试机
剥离试验机
万能材料试验机(单臂)
万能材料试验机(双臂)
光伏玻璃透过率测试仪
醋酸测试试验箱
交联度测试系统
二极管接线盒综合测试仪
落球冲击试验机
半自动四探针
全自动探针式台阶仪
多通道太阳能MPPT系统
Horiba稳瞬态荧光光谱仪
大面积钙钛矿方阻椭偏二合一测试仪
大面积钙钛矿影像显微二合一监测站
钙钛矿P1激光划线测试仪
钙钛矿在线PL测试仪
钙钛矿在线方阻测试仪
钙钛矿在线膜厚测试仪
钙钛矿工艺检测工作站
便携式EL测试仪
手持热成像测试仪
户外组件多通道测试系统
光伏逆变器电能质量测试仪
无人机EL检测仪
光热真空老化试验箱
IV测试仪
IVEL分选机
n型TOPCon电池中通过氘化/氢化混合策略提升钝化性能
日期:2025-12-12浏览量:730
在晶体硅太阳能电池领域,隧穿氧化层钝化接触(TOPCon)技术是突破效率瓶颈的关键方向,其钝化性能直接决定电池效率。目前,TOPCon结构的制备严重依赖氢化工艺来中和缺陷,但传统方法面临钝化效果提升有限、工艺复杂且机理不清晰的问题。美能QE量子效率测试仪可用于精确测量太阳电池的EQE与光谱响应,帮助优化界面工程和背接触设计,从而提升电池的量子效率和整体性能。
本文提出一种创新的氘化/氢化混合策略,通过在气氛退火中引入氘同位素(以D₂O形式)来优化钝化过程。研究发现,氢与氘在TOPCon结构中共存并产生协同效应,当以1% D₂O的优化比例混合时,能显著提升界面与体钝化质量,使隐含开路电压大幅增加。该方案不仅利用了氘硅键更强的稳定性,还通过简易的气氛退火工艺实现,为开发高效、兼容产业化的TOPCon太阳能电池提供了新途径。
实验方法
实验采用n型c-Si衬底,制备对称双面TOPCon结构(poly-Si(n)/SiOₓ/c-Si(n)/SiOₓ/poly-Si(n))。关键步骤包括热生长超薄SiOₓ层、沉积磷掺杂非晶硅、高温晶化形成多晶硅,最后进行气氛退火。退火在氮气保护下进行,通过鼓泡法分别引入水蒸气(H₂O)、氘水(D₂O)或两者混合蒸气。系统优化退火温度、时间、升温速率及气体比例。
氘钝化的可行性验证
(a) 制备于c-Si衬底上的TOPCon结构截面高分辨扫描透射电子显微镜图;(b) O Kα与Si Kα的EDS元素分布图;(c) 多晶硅(n)薄膜内硅原子相的选区电子衍射分析结果;(d) 和 (e) 与(a)图中所示多晶硅(n)/SiO₂区域对应的傅里叶变换衍射花样;(f) (a)图中选定区域的几何相位分析结果

(a) 仅由洗气瓶和退火炉组成的气氛退火装置示意图;(b) 分别以超纯水和D₂O作为氢源与氘源,双面钝化样品钝化性能提升的对比,以隐含开路电压为标准;(c) 水蒸气气氛退火氢化后,通过纯D₂O处理进行二次氘补充对隐含开路电压的影响;(d) 氘化工艺中气氛退火条件的优化:温度与升温速率;(e) 使用氢/氘源混合物时,D₂O比例对隐含开路电压提升的影响
微观结构分析表明,氘引入未改变TOPCon各层的晶体结构与界面形貌,说明氘化过程具有良好的结构兼容性。电学测试显示,在优化条件下,纯氘退火可使iVOC提升约7 mV,虽略低于纯氢退火(约10 mV),但已证明氘同样具备有效钝化能力。
进一步研究发现,氘钝化的最佳退火温度(约500°C)高于氢钝化(约450°C),且对升温速率更敏感,这可能与氘-硅键合需要更高激活能有关。
氢/氘混合策略的协同效应
(a)-(c) 经不同气氛(水蒸气、D₂O、1% D₂O)退火处理后制备的多晶硅/SiOₓ/c-Si叠层结构,通过二次离子质谱分析获得的元素分布剖面。分析元素包括:O相关(蓝色)、P相关(深黄色)、H相关(灰色)和D相关(红色);(d) 和 (e) c-Si/SiOₓ界面区域信号的放大视图:H相关和D相关。附表显示了各峰强度水平
通过调节退火气氛中D₂O与H₂O的比例,发现当D₂O占比为1% 时钝化效果最佳,iVOC提升达15 mV,显著优于单一氢或氘处理。SIMS分析表明,氢的快速扩散与氘的较强键合能力产生互补:氢能迅速钝化大量浅层缺陷,而氘则在界面及多晶硅体内形成更稳定的钝化结构。两者协同还能优化磷掺杂分布,形成更陡峭的浅结,有利于载流子传输并降低俄歇复合。
机理深入分析
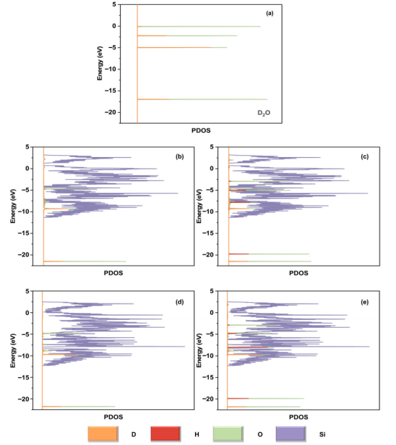
(a)-(d) H₂O和D₂O分子在不同硅衬底上的吸附模型;(e)-(h) 上述案例的电荷密度差图
(a) D₂O分子中D和O原子的投影态密度图作为参考;(b)-(e) 不同吸附模型(分别对应案例I–IV)下表面吸附过程后,D、H、O和Si原子的投影态密度图
(a)-(d) 不同吸附配置下吸附体系的晶体轨道哈密顿布居图谱,其为键合能量的函数
表面电势变化:KPFM显示经1% D₂O混合退火的样品表面功函数降低,表明界面态减少、能带弯曲增强,有利于场效应钝化。
键合特性:DFT计算证实,D₂O在富含悬挂键的硅表面吸附能更低、电荷转移更显著,且氘与硅的键合强度高于氢。
元素分布:SIMS显示氘处理可引起界面氧原子重排,这可能有助于缓解界面应变并优化缺陷结构。
电池性能验证
(a) 采用新型氘化/氢化混合策略制备的、具有全背电极的N型TOPCon太阳能电池在光照下的J-V曲线。同时显示了测试太阳能电池(2 cm × 2 cm)的性能参数以及具体的电池结构示意图;(b) 太阳能电池的外量子效率结果
基于1% D₂O混合退火工艺制备的n型TOPCon电池(全背接触结构)获得了:
效率:23.19%
开路电压:694.3 mV
短路电流密度:41.30 mA·cm⁻²
填充因子:80.87%
电池在300–900 nm短波范围内的外量子效率显著提升,进一步证实了钝化效果的改善
本研究创新性地提出了一种用于n型TOPCon太阳能电池的氘化/氢化混合钝化策略。通过优化浓度的气氛退火引入氘(最佳条件为1% D₂O),实现了氢与氘的协同作用,显著提升了界面与体材料的钝化性能。理论计算证实,氘与硅的键合强于氢,稳定性更高,尤其能有效钝化多晶硅体内的缺陷与悬挂键。当表面存在悬挂键时,水分子可协同增强D₂O在横向与纵向的反应范围,展现出优于传统氢钝化的吸附与钝化能力。
基于此策略制备的验证电池取得了23.19 % 的效率,各项电学参数显著提升,证明了该方法的器件级可行性与应用潜力。该工作不仅为现有氢化工艺提供了一条有效的优化路径,也为钝化接触工程引入了氢同位素这一新维度。
未来研究将聚焦于工艺深度优化、其他氢同位素的探索以及器件长期稳定性评估。该方法与现有产线兼容,初步验证具备可扩展性,通过精准控制退火参数,有望推动其在高效率TOPCon太阳能电池的大规模生产中应用,为下一代光伏技术发展提供新动力。
联系电话:400 008 6690
美能QE量子效率测试仪可以用来测量太阳能电池的光谱响应,并通过其量子效率来诊断太阳能电池存在的光谱响应偏低区域问题。它具有普遍的兼容性、广阔的光谱测量范围、测试的准确性和可追溯性等优势。
▶兼容所有太阳能电池类型,满足多种测试需求
▶光谱范围可达300-2500nm,并提供特殊化定制
▶氙灯+卤素灯双光源结构,保证光源稳定性
美能QE量子效率测试仪通过精准测量电池在300-900 nm短波范围内的光谱响应,为验证本研究中钝化性能的提升提供了关键实验数据。
原文参考:Enhanced passivation performance in n-type TOPCon solar cells via a novel deuteration/hydrogenation hybrid strategy









































































