光热真空老化试验箱

量子效率测试仪
PL/EL一体机
Sinton硅片少子寿命测试仪
Sinton硅块少子寿命测试仪
绒面反射率测试仪
3D共聚焦显微镜
在线四探针方阻测试仪
全自动扫描四探针方阻测试仪
在线薄膜厚度测试仪
晶化率测试仪
Horiba显微共焦拉曼光谱仪
傅里叶红外光谱仪
霍尔效应测试仪
分光光度计
全光谱椭偏仪
Horiba椭圆偏振光谱仪
TLM接触电阻率测试仪
超景深显微镜
网版智能影像测量仪
全自动影像测量仪
卧式拉力机
电池片稳态光衰老化试验箱
电池片紫外老化试验箱
电池片拉脱力综合测试仪
外观检验台
湿漏电测试系统
组件实验室EL测试仪
紫外老化试验箱
稳态光衰老化试验箱
电流连续性监测系统
PID测试系统
旁路二极管测试系统
LeTID测试系统
反向电流过载系统
脉冲电压测试系统
绝缘耐压测试仪
接地连续性测试仪
绝缘耐压接地测试仪
湿热环境试验箱
湿冻环境试验箱
热循环试验箱
动态机械载荷测试机
静态机械载荷测试机
冰雹冲击试验机
引出端强度试验机
霰弹冲击试验机
抗划伤(切割)测试机
剥离试验机
万能材料试验机(单臂)
万能材料试验机(双臂)
光伏玻璃透过率测试仪
醋酸测试试验箱
交联度测试系统
二极管接线盒综合测试仪
落球冲击试验机
半自动四探针
全自动探针式台阶仪
多通道太阳能MPPT系统
Horiba稳瞬态荧光光谱仪
大面积钙钛矿方阻椭偏二合一测试仪
大面积钙钛矿影像显微二合一监测站
钙钛矿P1激光划线测试仪
钙钛矿在线PL测试仪
钙钛矿在线方阻测试仪
钙钛矿在线膜厚测试仪
钙钛矿工艺检测工作站
便携式EL测试仪
手持热成像测试仪
户外组件多通道测试系统
光伏逆变器电能质量测试仪
无人机EL检测仪
IV测试仪
IVEL分选机
采用铜浆与银包铜浆实现晶硅太阳能电池23.08%高效率
日期:2026-02-02浏览量:1480
SHJ电池因其高开路电压、高效率和低温度工艺等优势,预计2030年市场份额将达25%。然而,其金属化依赖低温银浆,成本高且资源受限。行业目标是将银浆用量降至 5 mg/W 甚至 2 mg/W。美能TLM接触电阻测试仪是专用于太阳能电池电极优化中关键电学参数提取的高精度分析设备,具备接触电阻率与栅线电阻双重测试功能。为TOPCon电池等高效结构的电极材料优化与工艺改进提供可靠的量化依据。
为应对银浆成本与供应压力,本研究系统探索了以铜浆和银包铜浆替代传统银浆的可行性。通过对比丝网印刷与点胶印刷两种工艺,重点评估了这些替代浆料在SHJ电池中的电学性能、工艺兼容性及高温退火耐受性。这项工作表明,铜基浆料在SHJ电池中具有显著替代潜力,为推进低银化、低成本高效SHJ电池的产业化提供了重要技术路径。
实验方法
太阳能电池结构示意图,展示不同金属化浆料的应用位置(不按比例绘制)
栅线印刷性能研究
采用M2尺寸SHJ电池,分别用丝网印刷和点胶印刷制备银、银包铜、铜三种浆料的栅线,分析其:几何尺寸(宽度、高度、深宽比)、电学性能(线电阻、接触电阻率、体电阻)
浆料用量
退火条件对电池性能的影响
在多种退火条件(温度:280°C、320°C、360°C;时间:5秒、20秒、40秒)下处理银浆电池,评估效率变化,并进行光照处理恢复实验。
浆料在电池中的应用测试
将三种浆料组合应用于电池正背面,测试其:IV参数(效率、开路电压、短路电流密度、填充因子、串联电阻)、电致发光(EL)图像
结果与讨论
栅线性能分析
通过丝网印刷(SP)与点胶印刷方法使用银浆、银包铜浆和铜浆制备的栅线形貌
不同金属栅线线电阻(LR)随栅线宽度(w)的变化关系
银浆、银包铜浆与铜浆栅线的电学性能与几何参数
点胶印刷铜浆栅线更宽,但均匀性更好,适合背面应用。
铜浆线电阻约为银浆的3倍,银包铜浆介于两者之间。
银包铜浆银用量比纯银浆降低约50%。
退火耐受性
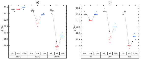
(a)电池在不同温度退火前(bS)、退火后(aS)及光照处理后(LiSo)的效率变化。(b)电池在300°C不同退火时间下bS、aS及LiSo的效率变化
电池在 280°C/5秒退火后性能稳定。
高于280°C时效率下降,320°C下降约0.5%,360°C下降约1.5%。
光照处理可部分恢复效率损失。
电池性能对比
采用丝网印刷(SP)与点胶印刷的不同正背面金属化太阳能电池的光伏参数:(a)效率(η)、(b)开路电压(Voc)、(c)短路电流密度(Jsc)、(d)填充因子(FF)、(e)串联电阻(Rs)、(f)伪填充因子(pFF)
部分优选电池的IV参数汇总及其银浆用量减少情况
在高电流注入条件(8A,合32.74 mA/cm²)下拍摄的电致发光图像:(a)参考电池(双面银浆);(b)正面铜浆丝网印刷、背面银浆丝网印刷电池;(c)正面银浆丝网印刷、背面铜浆丝网印刷电池;(d)双面铜浆丝网印刷电池
双面铜浆丝网印刷电池效率达23.08%,为目前最高纪录。
铜浆电池效率下降主要源于串联电阻升高与填充因子降低。
EL图像显示铜浆电池边缘存在暗区,表明铜栅线与TCO接触不良,需进一步优化烧结工艺。
本研究系统比较了铜浆与银包铜浆在SHJ太阳能电池金属化中的性能,并与传统银浆电池进行对比。主要结论如下:铜浆与银包铜浆在SHJ电池中具有替代银浆的潜力,可大幅降低银耗;正面银包铜浆+背面银浆电池效率较参考电池提升0.13%;正面银包铜浆+背面铜浆电池效率达23.6%,银浆节约约70%;双面铜浆丝网印刷电池平均效率22.4%,最高23.08%,为目前报道最佳;点胶印刷铜浆在背面应用中性能优于丝网印刷铜浆。研究还发现,电池在280°C以下退火性能稳定,且光照处理可有效恢复高温导致的部分效率损失。
为实现铜浆与银包铜浆的大规模应用,需进一步优化印刷工艺、降低栅线宽度、提升工艺稳定性与经济性。研究表明,SHJ电池实现无银金属化后效率仍可超过23%,证明“每电池银耗≤2 mg/W”的目标在高效SHJ电池中是可行的。
联系电话:400 008 6690
美能TLM接触电阻测试仪所具备接触电阻率测试功能,可实现快速、灵活、精准检测。
静态测试重复性≤1%,动态测试重复性≤3%
u 线电阻测量精度可达5%或0.1Ω/cm
u 接触电阻率测试与线电阻测试随意切换
u 定制多种探测头进行测量和分析
美能TLM接触电阻测试仪通过精确测量金属与TCO界面的接触电阻率,为本文中评估铜基浆料的接触性能提供了核心量化依据。数据显示,铜浆接触电阻高达10.28 mΩ·cm²,是其电池串联电阻升高和填充因子下降的主要原因。同时,该仪器能定位烧结后的接触缺陷区域,与EL图像中出现的边缘暗区相互印证,帮助诊断工艺问题。其稳定的测试能力,为持续推进低银化、无银化金属化方案的可靠性与量产评估提供了关键支撑。
原文参考:Achieving High Efficiencies for Silicon Heterojunction Solar Cells Using Silver-Free Metallization









































































